Wie löse ich Matheaufgaben?

Potenzen, Wurzeln, Logarithmen

Sie sehen ein gelbes Eingabefeld und die
Schalter: Prüfen und Lösung.

Tragen Sie Ihr Ergebnis ein, prüfen Sie es
oder starten Sie eine Lösung.

Aufgabe 67 1 (---)-3 = 4

Aufgabe 68 1 (- ---)-4 = 3

Aufgabe 69 5 (---)-1 = 8

Aufgabe 70 1 (- 2 ---)-3 = 3

Aufgabe 71 4 343 (---)-3 = ------ 7

Aufgabe 72 4-3 ----- = 7

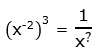
Aufgabe 73 1 (x-2)3 = --- x? Fragezeichen =

Aufgabe 74 (2x2)-3 =

Aufgabe 75 x6 (-5x-3)-2 = -------

Aufgabe 76 [(23x-3)8]0 =

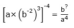
Aufgabe 77 b? [a * (b-2)3]-4 = ----- a4 Fragezeichen =

Aufgabe 78 (-2-3)4 =

Aufgabe 79 (-2-4)-3 =

Aufgabe 80 1 [( -----)-3]-2 = r-2

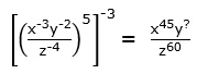
Aufgabe 81 x-3y-2 x45 * y? [(---------)5]-3 = ---------- z-4 z60 Fragezeichen =

Aufgabe 82 (6x-5y-2 - 2x-4y-3 + 7x-3y-4) * 5x-1y-3 =

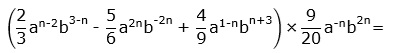
Aufgabe 83 2 5 4 (--- an-2b3-n - --- a2nb-2n + --- a1-nbn+3) * 3 6 9 9 * ---- a-nb2n = 20 3 3 1 = ---- a?bn+3 - --- an + --- a1-2nb3n+3 = 10 8 5 Fragezeichen =

Aufgabe 84 (3x-3 + 2x-4 - x-5) : x6 =

zurück